Zabytek.pl
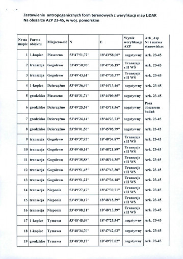
sin - spis stanowisk inny
Obszar AZP: 022-045
Data dokumentu: 1979-01-01
Zasób: Ewidencja zabytków archeologicznych
Identyfikator: PL.1.9.ZIPOZ.NID_A__EA.905364
Dodaj do kolekcji
Data dokumentu: 1979-01-01
Zasób: Ewidencja zabytków archeologicznych
Identyfikator: PL.1.9.ZIPOZ.NID_A__EA.905364
Licencje
domena publiczna Aby dodawać lub przeglądać notatki musisz się zalogować.
Nie masz jeszcze konta? Zarejestruj się
-
KEZA
3 -
KEZA
2 -
M25 - mapa obszaru AZP 1:25 000
1 -
map - mapa inna
3 -
alf - spis stanowisk alfabetyczny
3 -
sar - spis stanowisk archiwalnych
4 -
chr - spis stanowisk wg chronologii i funkcji
4 -
sin - spis stanowisk inny
2 -
fot - fotografia stanowiska
3 -
rfr - rysunek/fotografia zabytków ruchomych
2 -
nob - spis stanowisk wg numerów na obszarze
6 -
spr - sprawozdanie z badań
21 -
inna
2 -
M25 - mapa obszaru AZP 1:25 000
1 -
spr - sprawozdanie z badań
1 -
sin - spis stanowisk inny
1 -
alf - spis stanowisk alfabetyczny
2