Zabytek.pl
spis stanowisk alfabetyczny
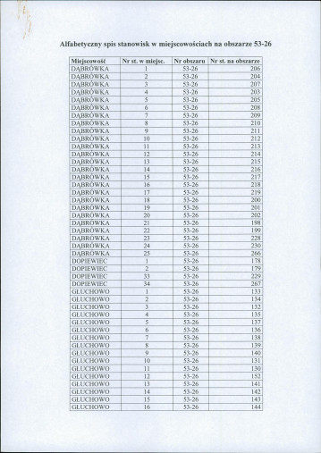
Obszar AZP: 053-026
Data dokumentu: 2009-04-01
Zasób: Ewidencja zabytków archeologicznych
Identyfikator: PL.1.9.ZIPOZ.NID_A__EA.1180038
Dodaj do kolekcji
Data dokumentu: 2009-04-01
Zasób: Ewidencja zabytków archeologicznych
Identyfikator: PL.1.9.ZIPOZ.NID_A__EA.1180038
Licencje
domena publiczna Aby dodawać lub przeglądać notatki musisz się zalogować.
Nie masz jeszcze konta? Zarejestruj się