Zabytek.pl
mapa obszaru AZP 1:25 000
Obszar AZP: 060-059
Data dokumentu: 1987-05-01
Zasób: Ewidencja zabytków archeologicznych
Identyfikator: PL.1.9.ZIPOZ.NID_A__EA.88421
Dodaj do kolekcji
Data dokumentu: 1987-05-01
Zasób: Ewidencja zabytków archeologicznych
Identyfikator: PL.1.9.ZIPOZ.NID_A__EA.88421
Licencje
domena publiczna Aby dodawać lub przeglądać notatki musisz się zalogować.
Nie masz jeszcze konta? Zarejestruj się
-
KEZA
2
-
KEZA
2 -
KEZA
2 -
mapa obszaru AZP 1:25 000
1 -
sprawozdanie z badań
1
-
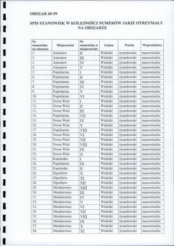
spis stanowisk wg numerów na obszarze
1 -
sprawozdanie z badań
1
-
spis stanowisk inny
1 -
spis stanowisk wg chronologii i funkcji
1 -
mapa inna
2 -
sprawozdanie z badań
5 -
spis stanowisk wg chronologii i funkcji
2 -
spis stanowisk inny
1
-
spis stanowisk wg numerów na obszarze
2 -
spis stanowisk alfabetyczny
1 -
mapa obszaru AZP 1:25 000
1 -
mapa obszaru AZP 1:25 000
1