Zabytek.pl
rysunek/fotografia zabytków ruchomych
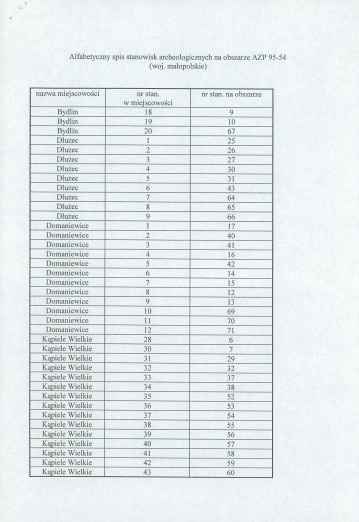
Obszar AZP: 095-054
Data dokumentu: 2004-10-01
Zasób: Ewidencja zabytków archeologicznych
Identyfikator: PL.1.9.ZIPOZ.NID_A__EA.224721
Dodaj do kolekcji
Data dokumentu: 2004-10-01
Zasób: Ewidencja zabytków archeologicznych
Identyfikator: PL.1.9.ZIPOZ.NID_A__EA.224721
Licencje
domena publiczna Aby dodawać lub przeglądać notatki musisz się zalogować.
Nie masz jeszcze konta? Zarejestruj się